Home Browse Text SearchFunctional Group SearchStructure SearchPreferences Administration

selected data collection: 1

IRIS SDF: browse content


1
  <<    <    >    >>  

1:560408 C40H52N6O15
hit structure
1:560409 C40H51N5O8
hit structure
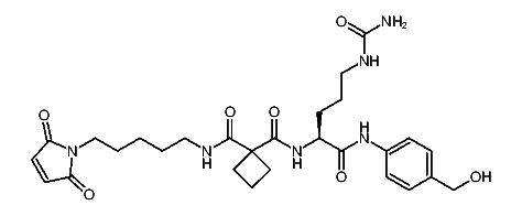
1:560410 C28H38N6O7
hit structure
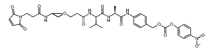
1:560411 C35H41N7O11
hit structure
1:560412 C22H32N8O5
hit structure
1:560413 C29H35N9O9
hit structure
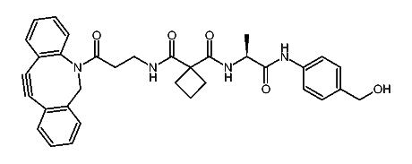
1:560414 C22H29N5O5
hit structure
1:560415 C29H32N6O9
hit structure
1:560416 C37H40N6O6
hit structure
1:560417 C44H43N7O10
hit structure
1:560418 C25H32N4O6
hit structure
1:560419 C32H35N5O10
hit structure
1:560420 C19H26N6O4
hit structure
1:560421 C26H29N7O8
hit structure
1:560422 C19H23N3O4
hit structure
1:560423 C26H26N4O8
hit structure
1:560424 C34H34N4O5
hit structure
1:560425 C41H37N5O9
hit structure
1:560426 C20H30ClN3O4
hit structure
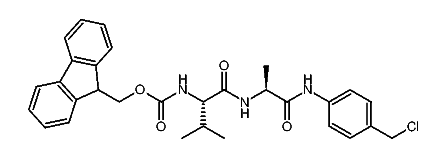
1:560427 C30H32ClN3O4
hit structure
1:560428 C21H31ClN6O3
hit structure
1:560429 C20H26ClN3O3
hit structure
1:560430 C25H33ClN4O5
hit structure
1:560431 C20H29ClN6O4
hit structure
1:560432 C23H32ClN3O5
hit structure

1
  <<    <    >    >>  

entries in data collection: 571530