Home Browse Text SearchFunctional Group SearchStructure SearchPreferences Administration

selected data collection: 1

IRIS SDF: browse content


1
  <<    <    >    >>  

1:559946 C29H31NO5
hit structure
1:559947 C31H37NO6
hit structure
1:559948 C32H39NO6
hit structure
1:559949 C37H41NO6
hit structure
1:559950 C29H33NO5
hit structure
1:559951 C40H42N2O7
hit structure
1:559952 C89H91N7O14
hit structure
1:559953 C96H98N8O15
hit structure
1:559954 C25H50N4O6
hit structure
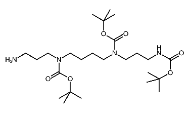
1:559955 C20H42N4O4
hit structure
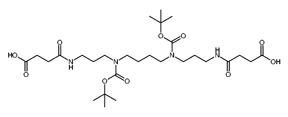
1:559956 C39H56N4O9
hit structure
1:559957 C10H24N6
hit structure
1:559958 C31H58N4O10
hit structure
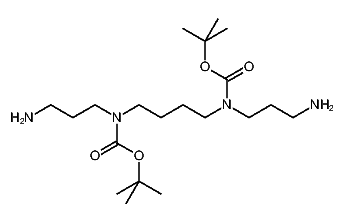
1:559959 C20H42N4O4
hit structure
1:559960 C10H22N8
hit structure
1:559961 C29H54N4O9
hit structure
1:559962 C25H48N6O6
hit structure
1:559963 C28H50N4O10
hit structure
1:559964 CH2Cl2
hit structure
1:559965 C3H7NO
hit structure
1:559966 C4H10O
hit structure
1:559967 C3H2F6O
hit structure
1:559968 C5H9NO
hit structure
1:559969 C5H11N
hit structure
1:559970 C2HF3O2
hit structure

1
  <<    <    >    >>  

entries in data collection: 560270