Home Browse Text SearchFunctional Group SearchStructure SearchPreferences Administration

selected data collection: 1

IRIS SDF: browse content


1
  <<    <    >    >>  

1:559548 C4H9N3
hit structure
1:559549 C9H5F3N2O2
hit structure
1:559550 C9H8F3N3
hit structure
1:559551 C14H18O4
hit structure
1:559552 C13H16O4
hit structure
1:559553 C15H20O4
hit structure
1:559554 C22H27NO7
hit structure
1:559555 C10H14N4O4
hit structure
1:559556 C7H7N3O
hit structure
1:559557 C8H7N3O2
hit structure
1:559558 C6H7NO3
hit structure
1:559559 C9H9N3O3
hit structure
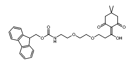
1:559560 C23H33N3O7S
hit structure
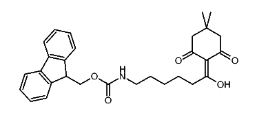
1:559561 C15H24N4O4
hit structure
1:559562 C14H26ClNO5
hit structure
1:559563 C11H21N3O2
hit structure
1:559564 C12H23N3O2
hit structure
1:559565 C16H26N4O4
hit structure
1:559566 C14H27N3O2
hit structure
1:559567 C16H31N3O2
hit structure
1:559568 C18H35N3O2
hit structure
1:559569 C29H33NO5
hit structure
1:559570 C30H35NO7
hit structure
1:559571 C13H19N3O3
hit structure
1:559572 C11H15N5O4
hit structure

1
  <<    <    >    >>  

entries in data collection: 565900