Home Browse Text SearchFunctional Group SearchStructure SearchPreferences Administration

selected data collection: 1

IRIS SDF: browse content


1
  <<    <    >    >>  

1:559472 C16H27N3O4S
hit structure
1:559473 C15H28N4O2S
hit structure
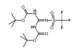
1:559474 C7HF4N3O2
hit structure
1:559475 C11H4F4N4O4
hit structure
1:559476 C14H24O2
hit structure
1:559477 C16H28O2
hit structure
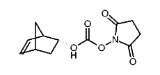
1:559478 C18H32O2
hit structure
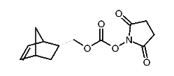
1:559479 C12H13NO5
hit structure
1:559480 C13H15NO5
hit structure
1:559481 C18H16N2O
hit structure
1:559482 C10H8N4O2
hit structure
1:559483 C7H10N4O2
hit structure
1:559484 C13H17NO7
hit structure
1:559485 C12H20F3N3O6S
hit structure
1:559486 C12H17F6N6O2P
hit structure
1:559487 C18H27ClF6N6OP2
hit structure
1:559488 C10H19NO4S2
hit structure
1:559489 C20H21NO4S2
hit structure
1:559490 C18H30N10O3
hit structure
1:559491 C19H20N6O5
hit structure
1:559492 C18H18N6O5
hit structure
1:559493 C27H36N6O10
hit structure
1:559494 C35H35NO7S2
hit structure
1:559495 C17H29F6N5O3P2
hit structure
1:559496 C6H7N3O4
hit structure

1
  <<    <    >    >>  

entries in data collection: 565900