Home Browse Text SearchFunctional Group SearchStructure SearchPreferences Administration

selected data collection: 1

IRIS SDF: browse content


1
  <<    <    >    >>  

1:559198 C25H28N2O6
hit structure
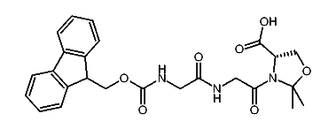
1:559199 C30H36N2O8
hit structure
1:559200 C46H45N3O7
hit structure
1:559201 C31H32N2O6
hit structure
1:559202 C24H26N2O6
hit structure
1:559203 C28H34N2O6
hit structure
1:559204 C33H43N3O8
hit structure
1:559205 C28H34N2O6
hit structure
1:559206 C45H43N3O7
hit structure
1:559207 C31H38N2O8
hit structure
1:559208 C29H36N2O7
hit structure
1:559209 C27H32N2O6
hit structure
1:559210 C38H41N3O8
hit structure
1:559211 C40H42N2O8S
hit structure
1:559212 C32H34N2O7S
hit structure
1:559213 C49H44N2O7S2
hit structure
1:559214 C40H49N5O9S
hit structure
1:559215 C41H51N5O9S
hit structure
1:559216 C27H32N2O6S
hit structure
1:559217 C26H30N2O6S
hit structure
1:559218 C11H19NO5
hit structure
1:559219 C12H21NO5
hit structure
1:559220 C22H23NO5
hit structure
1:559221 C25H27N3O7
hit structure
1:559222 C13H19N3O5
hit structure

1
  <<    <    >    >>  

entries in data collection: 560270