Home Browse Text SearchFunctional Group SearchStructure SearchPreferences Administration

selected data collection: 1

IRIS SDF: browse content


1
  <<    <    >    >>  

1:558895 C46H80N2O25
hit structure
1:558896 C54H96N2O29
hit structure
1:558897 C62H112N2O33
hit structure
1:558898 C24H22F8O8
hit structure
1:558899 C66H106F8O29
hit structure
1:558900 C16H20N2O10
hit structure
1:558901 C18H24N2O11
hit structure
1:558902 C19H37N3O10
hit structure
1:558903 C27H53N3O14
hit structure
1:558904 C51H101N3O26
hit structure
1:558905 C24H49N3O11
hit structure
1:558906 C32H65N3O15
hit structure
1:558907 C65H120N4O30S
hit structure
1:558908 C61H117N3O28S
hit structure
1:558909 C112H218N4O53S
hit structure
1:558910 C26H50N4O9S
hit structure
1:558911 C34H66N4O13S
hit structure
1:558912 C58H114N4O25S
hit structure
1:558913 C65H119N5O28S
hit structure
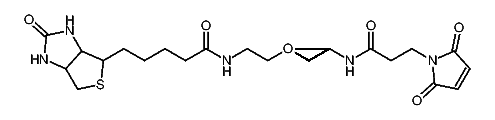
1:558914 C26H48N6O9S
hit structure
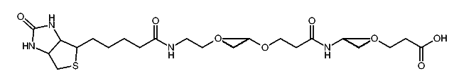
1:558915 C34H64N6O13S
hit structure
1:558916 C58H112N6O25S
hit structure
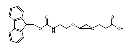
1:558917 C24H29NO7
hit structure
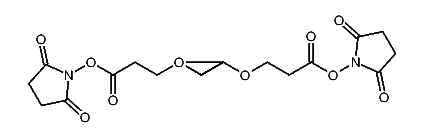
1:558918 C28H37NO9
hit structure
1:558919 C90H161NO40
hit structure

1
  <<    <    >    >>  

entries in data collection: 560270