Home Browse Text SearchFunctional Group SearchStructure SearchPreferences Administration

selected data collection: 1

IRIS SDF: browse content


1
  <<    <    >    >>  

1:558871 C25H52O12S
hit structure
1:558872 C19H35NO7S2
hit structure
1:558873 C27H51NO11S2
hit structure
1:558874 C59H115NO27S2
hit structure
1:558875 C25H41N3O7S2
hit structure
1:558876 C39H69N3O15S2
hit structure
1:558877 C28H50N4O6S3
hit structure
1:558878 C42H78N4O14S3
hit structure
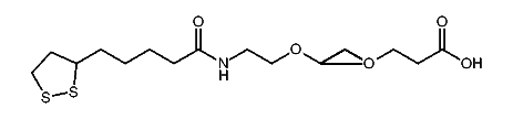
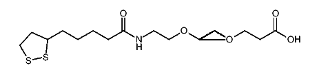
1:558879 C17H33NO5S2
hit structure
1:558880 C25H49NO9S2
hit structure
1:558881 C33H65NO13S2
hit structure
1:558882 C57H113NO25S2
hit structure
1:558883 C33H59NO17S
hit structure
1:558884 C79H159NO38
hit structure
1:558885 C48H99NO24
hit structure
1:558886 C72H147NO36
hit structure
1:558887 C8H17N3O4
hit structure
1:558888 C48H97N3O24
hit structure
1:558889 C72H145N3O36
hit structure
1:558890 C26H52O13S
hit structure
1:558891 C22H36N2O11
hit structure
1:558892 C87H161N3O41S2
hit structure
1:558893 C26H40N2O15
hit structure
1:558894 C38H64N2O21
hit structure
1:558895 C46H80N2O25
hit structure

1
  <<    <    >    >>  

entries in data collection: 560270