Home Browse Text SearchFunctional Group SearchStructure SearchPreferences Administration

selected data collection: 1

IRIS SDF: browse content


1
  <<    <    >    >>  

1:558740 C10H15NO6
hit structure
1:558741 C30H49N5O11S3
hit structure
1:558742 C13H27NO6
hit structure
1:558743 C16H31NO8
hit structure
1:558744 C10H11NO5
hit structure
1:558745 C17H27NO9S
hit structure
1:558746 C25H43NO13S
hit structure
1:558747 C29H59NO14
hit structure
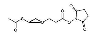
1:558748 C11H22O6S
hit structure
1:558749 C16H4F10O5
hit structure
1:558750 C12H12N2O9
hit structure
1:558751 C64H127NO32
hit structure
1:558752 C56H116N2O27
hit structure
1:558753 C27H55NO9S
hit structure
1:558754 C22H42N4O12
hit structure
1:558755 C7H15N3O3
hit structure
1:558756 C7H15N3O3
hit structure
1:558757 C7H15N3O3
hit structure
1:558758 C27H37F4N7O6S
hit structure
1:558759 C27H37F4N3O8S
hit structure
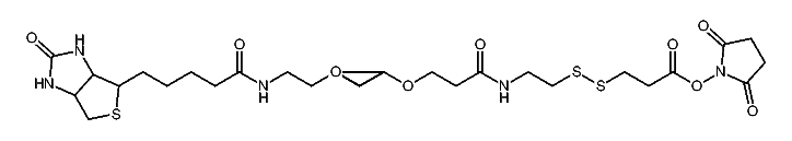
1:558760 C30H52N6O7S2
hit structure
1:558761 C38H62N4O17
hit structure
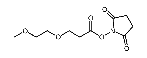
1:558762 C10H20O5S
hit structure
1:558763 C11H14F3N3O5
hit structure
1:558764 C20H38N4O5S
hit structure

1
  <<    <    >    >>  

entries in data collection: 560270