Home Browse Text SearchFunctional Group SearchStructure SearchPreferences Administration

selected data collection: 1

IRIS SDF: browse content


1
  <<    <    >    >>  

1:558497 C16H30N4O4S
hit structure
1:558498 C16H30N4O4S
hit structure
1:558499 C24H37N5O6S
hit structure
1:558500 C24H37N5O6S
hit structure
1:558501 C24H37N5O6S
hit structure
1:558502 C37H69N3O16S
hit structure
1:558503 C18H31N3O6S
hit structure
1:558504 C18H31N3O6S
hit structure
1:558505 C18H31N3O6S
hit structure
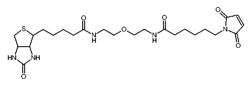
1:558506 C22H34N4O8S
hit structure
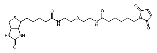
1:558507 C22H34N4O8S
hit structure
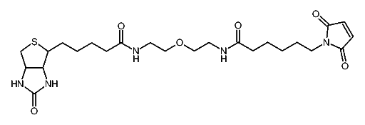
1:558508 C22H34N4O8S
hit structure
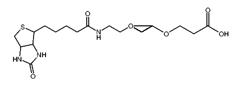
1:558509 C17H26N2O7
hit structure
1:558510 C17H26N2O7
hit structure
1:558511 C17H26N2O7
hit structure
1:558512 C22H31N3O9
hit structure
1:558513 C22H31N3O9
hit structure
1:558514 C22H31N3O9
hit structure
1:558515 C29H60N2O13
hit structure
1:558516 C21H44N2O9
hit structure
1:558517 C9H20N2O3
hit structure
1:558518 C9H20N2O3
hit structure
1:558519 C9H20N2O3
hit structure
1:558520 C25H48N2O13
hit structure
1:558521 C13H25NO6
hit structure

1
  <<    <    >    >>  

entries in data collection: 560270