Home Browse Text SearchFunctional Group SearchStructure SearchPreferences Administration

selected data collection: 1

IRIS SDF: browse content


1
  <<    <    >    >>  

1:558435 C43H79N3O13
hit structure
1:558436 C47H82N4O15
hit structure
1:558437 C31H57NO7
hit structure
1:558438 C22H42O4
hit structure
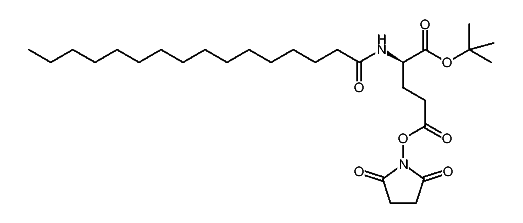
1:558439 C29H50N2O7
hit structure
1:558440 C29H50N2O7
hit structure
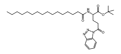
1:558441 C26H44N2O7
hit structure
1:558442 C10H15NO6
hit structure
1:558443 C17H23NO4
hit structure
1:558444 C17H29NO4
hit structure
1:558445 C17H24N2O4
hit structure
1:558446 C17H23NO5
hit structure
1:558447 C17H23NO4S
hit structure
1:558448 C18H25NO4
hit structure
1:558449 C27H25NO4
hit structure
1:558450 C27H31NO4
hit structure
1:558451 C31H50N4O4
hit structure
1:558452 C25H47NO5
hit structure
1:558453 C8H14N2O2S2
hit structure
1:558454 C36H44N4O9S2
hit structure
1:558455 C29H53NO7
hit structure
1:558456 C33H56N2O9
hit structure
1:558457 C20H38O4
hit structure
1:558458 C44H46N2O4S
hit structure
1:558459 C57H110N2O8S
hit structure

1
  <<    <    >    >>  

entries in data collection: 560270