Home Browse Text SearchFunctional Group SearchStructure SearchPreferences Administration

selected data collection: 1

IRIS SDF: browse content


1
  <<    <    >    >>  

1:555858 C11H28N2O3
hit structure
1:555859 C11H28N2O3
hit structure
1:555860 C11H28N2O3
hit structure
1:555861 C11H28N2O3
hit structure
1:555862 C11H28N2O3
hit structure
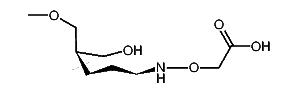
1:555863 C11H25NO5
hit structure
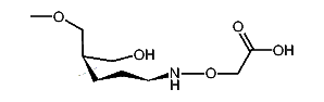
1:555864 C11H25NO5
hit structure
1:555865 C11H25NO5
hit structure
1:555866 C11H25NO5
hit structure
1:555867 C11H25NO5
hit structure
1:555868 C11H25NO5
hit structure
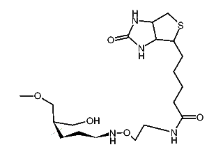
1:555869 C21H42N4O5S
hit structure
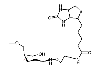
1:555870 C21H42N4O5S
hit structure
1:555871 C21H42N4O5S
hit structure
1:555872 C21H42N4O5S
hit structure
1:555873 C21H42N4O5S
hit structure
1:555874 C12H29NO3S
hit structure
1:555875 C25H23N3O2
hit structure
1:555876 C47H51FN7O7P
hit structure
1:555877 C41H49FN5O8P
hit structure
1:555878 C44H53FN7O8P
hit structure
1:555879 C48H54N7O8P
hit structure
1:555880 C47H54N5O9P
hit structure
1:555881 C45H56N7O9P
hit structure
1:555882 C40H49N4O9P
hit structure

1
  <<    <    >    >>  

entries in data collection: 560270