Home Browse Text SearchFunctional Group SearchStructure SearchPreferences Administration

selected data collection: 1

IRIS SDF: browse content


1
  <<    <    >    >>  

1:555836 C38H37NO7
hit structure
1:555837 C44H44N2O4
hit structure
1:555838 C43H41NO7
hit structure
1:555839 C79H157N7
hit structure
1:555840 C19H28N2O6
hit structure
1:555841 C30H34N2O6
hit structure
1:555842 C29H32N2O6
hit structure
1:555843 C28H30N2O6
hit structure
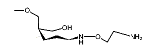
1:555844 C21H34N2O6
hit structure
1:555845 C29H32N2O6
hit structure
1:555846 C28H30N2O6
hit structure
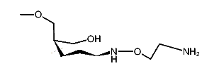
1:555847 C20H30N2O6
hit structure
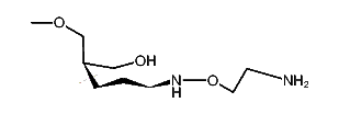
1:555848 C21H34N2O6
hit structure
1:555849 C31H36N2O6
hit structure
1:555850 C16H25NO6
hit structure
1:555851 C31H36N2O6
hit structure
1:555852 C31H36N2O6
hit structure
1:555853 C34H42N2O6
hit structure
1:555854 C15H23NO4S
hit structure
1:555855 C34H42N2O6
hit structure
1:555856 C32H38N2O6
hit structure
1:555857 C11H28N2O3
hit structure
1:555858 C11H28N2O3
hit structure
1:555859 C11H28N2O3
hit structure
1:555860 C11H28N2O3
hit structure

1
  <<    <    >    >>  

entries in data collection: 560270