Home Browse Text SearchFunctional Group SearchStructure SearchPreferences Administration

selected data collection: 1

IRIS SDF: browse content


1
  <<    <    >    >>  

1:555654 C23H26BrN2O2P
hit structure
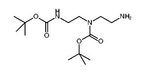
1:555655 C9H18N2O2
hit structure
1:555656 C9H18N2O2
hit structure
1:555657 C11H22N2O2
hit structure
1:555658 C15H32N2O5
hit structure
1:555659 C13H26N2O2
hit structure
1:555660 C9H20N2O2
hit structure
1:555661 C10H22N2O2
hit structure
1:555662 C13H26N2O2
hit structure
1:555663 C8H18N2O2
hit structure
1:555664 C9H20N2O2
hit structure
1:555665 C11H22N2O2
hit structure
1:555666 C9H20N2O2S2
hit structure
1:555667 C16H26N2O2
hit structure
1:555668 C13H26N2O2
hit structure
1:555669 C14H29N3O4
hit structure
1:555670 C14H29N3O4
hit structure
1:555671 C16H33N3O4
hit structure
1:555672 C16H33N3O4
hit structure
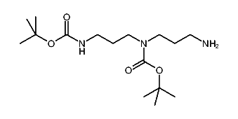
1:555673 C17H35N3O4
hit structure
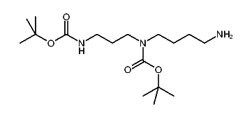
1:555674 C17H35N3O4
hit structure
1:555675 C10H22N4O3
hit structure
1:555676 C24H50N4O4
hit structure
1:555677 C9H20N2O2S2
hit structure
1:555678 C13H28N2O2
hit structure

1
  <<    <    >    >>  

entries in data collection: 560270