Home Browse Text SearchFunctional Group SearchStructure SearchPreferences Administration

selected data collection: 1

IRIS SDF: browse content


1
  <<    <    >    >>  

1:555198 C29H40N4O7S
hit structure
1:555199 C20H23N3O4
hit structure
1:555200 C14H17Cl2NO5
hit structure
1:555201 C16H31NO4
hit structure
1:555202 C17H33NO4
hit structure
1:555203 C25H28N2O6
hit structure
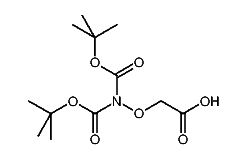
1:555204 C9H16N4O4
hit structure
1:555205 C9H16N4O4
hit structure
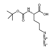
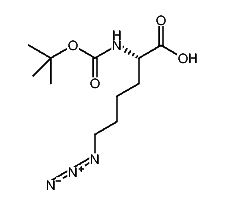
1:555206 C11H20N4O4
hit structure
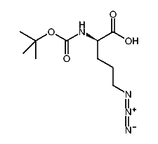
1:555207 C11H20N4O4
hit structure
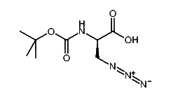
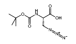
1:555208 C8H14N4O4
hit structure
1:555209 C8H14N4O4
hit structure
1:555210 C10H18N4O4
hit structure
1:555211 C10H18N4O4
hit structure
1:555212 C12H21NO7
hit structure
1:555213 C13H18N2O4
hit structure
1:555214 C14H18N4O4
hit structure
1:555215 C14H18N4O4
hit structure
1:555216 C13H17N3O6S2
hit structure
1:555217 C12H19N3O4
hit structure
1:555218 C12H19N3O4
hit structure
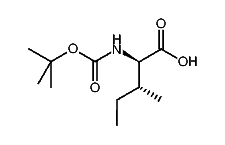
1:555219 C11H21NO4
hit structure
1:555220 C9H17NO5
hit structure
1:555221 C12H24N2O4
hit structure
1:555222 C15H21NO4
hit structure

1
  <<    <    >    >>  

entries in data collection: 560270