Home Browse Text SearchFunctional Group SearchStructure SearchPreferences Administration

selected data collection: 1

IRIS SDF: browse content


1
  <<    <    >    >>  

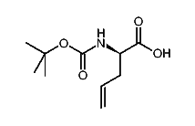
1:549637 C10H17NO4
hit structure
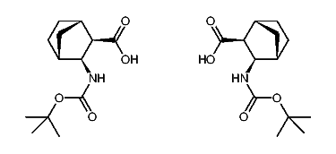
1:549638 C11H19NO4
hit structure
1:549639 C12H21NO4
hit structure
1:549640 C22H38N2O8
hit structure
1:549641 C26H42N2O8
hit structure
1:549642 C26H38N2O8
hit structure
1:549643 C28H50N2O8
hit structure
1:549644 C28H46N2O8
hit structure
1:549645 C24H42N2O8
hit structure
1:549646 C26H46N2O8
hit structure
1:549647 C26H46N2O8
hit structure
1:549648 C28H46N2O8
hit structure
1:549649 C11H21NO4
hit structure
1:549650 C12H23NO4
hit structure
1:549651 C13H25NO4
hit structure
1:549652 C14H27NO4
hit structure
1:549653 C12H23NO4
hit structure
1:549654 C11H21NO4
hit structure
1:549655 C10H18ClNO4
hit structure
1:549656 C12H23NO4
hit structure
1:549657 C15H21NO4
hit structure
1:549658 C14H19NO4
hit structure
1:549659 C10H17NO4
hit structure
1:549660 C14H25NO4
hit structure
1:549661 C12H21NO4
hit structure

1
  <<    <    >    >>  

entries in data collection: 577160