Home Browse Text SearchFunctional Group SearchStructure SearchPreferences Administration

selected data collection: 1

IRIS SDF: browse content


1
  <<    <    >    >>  

1:549487 C14H17Cl2NO4
hit structure
1:549488 C14H17F2NO4
hit structure
1:549489 C14H18FNO4
hit structure
1:549490 C14H18INO4
hit structure
1:549491 C14H18BrNO4
hit structure
1:549492 C14H18FNO4
hit structure
1:549493 C15H21NO4
hit structure
1:549494 C14H20N2O4
hit structure
1:549495 C29H30N2O6
hit structure
1:549496 C14H18N2O6
hit structure
1:549497 C14H14F5NO4
hit structure
1:549498 C10H15NO4
hit structure
1:549499 C16H23NO5
hit structure
1:549500 C11H21NO4
hit structure
1:549501 C21H23Cl2NO5
hit structure
1:549502 C21H25NO5
hit structure
1:549503 C18H21NO4
hit structure
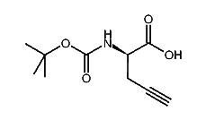
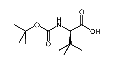
1:549504 C9H17NO4
hit structure
1:549505 C16H21NO4
hit structure
1:549506 C18H21NO4
hit structure
1:549507 C13H18N2O4
hit structure
1:549508 C21H34N4O7S
hit structure
1:549509 C16H21NO6
hit structure
1:549510 C21H23NO5
hit structure
1:549511 C14H25NO4
hit structure

1
  <<    <    >    >>  

entries in data collection: 577160