Home Browse Text SearchFunctional Group SearchStructure SearchPreferences Administration

selected data collection: 1

IRIS SDF: browse content


1
  <<    <    >    >>  

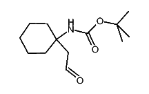
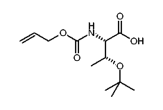
1:549062 C10H17NO4
hit structure
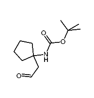
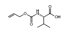
1:549063 C9H13NO4
hit structure
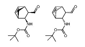
1:549064 C11H19NO4
hit structure
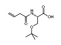
1:549065 C12H21NO5
hit structure
1:549066 C15H16N2O4
hit structure
1:549067 C17H23NO5
hit structure
1:549068 C9H15NO4
hit structure
1:549069 C22H22N2O6
hit structure
1:549070 C5H8N6O3
hit structure
1:549071 C23H24N2O6
hit structure
1:549072 C20H24N2O6
hit structure
1:549073 C10H18N2O4
hit structure
1:549074 C25H32N2O4
hit structure
1:549075 C13H17NO4
hit structure
1:549076 C24H24N2O6
hit structure
1:549077 C27H26N2O5
hit structure
1:549078 C10H17NO4
hit structure
1:549079 C7H11NO4
hit structure
1:549080 C22H38N2O6
hit structure
1:549081 C26H42N2O6
hit structure
1:549082 C26H38N2O6
hit structure
1:549083 C28H46N2O6
hit structure
1:549084 C13H23NO3
hit structure
1:549085 C12H21NO3
hit structure
1:549086 C22H34N2O6
hit structure

1
  <<    <    >    >>  

entries in data collection: 565900