Home Browse Text SearchFunctional Group SearchStructure SearchPreferences Administration

selected data collection: 1

IRIS SDF: browse content


1
  <<    <    >    >>  

1:548711 C2H3F3O
hit structure
1:548712 C5H9NO
hit structure
1:548713 C6H14O3S
hit structure
1:548714 C19H17P
hit structure
1:548715 C7H7ClO2S
hit structure
1:548716 C12H14O2
hit structure
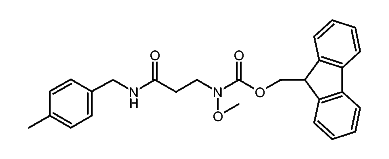
1:548717 C27H28N2O4
hit structure
1:548718 C9H11ClO2S
hit structure
1:548719 C13H21N
hit structure
1:548720 C12H14O2
hit structure
1:548721 C9H12O3S
hit structure
1:548722 C9H12O3S
hit structure
1:548723 C12H17NO
hit structure
1:548724 C9H9NO
hit structure
1:548725 C19H17P
hit structure
1:548726 C7H8O3S
hit structure
1:548727 C7H7NaO3S
hit structure
1:548728 C16H16O2
hit structure
1:548729 C8H8O2
hit structure
1:548730 C14H24ClN
hit structure
1:548731 C8H11N
hit structure
1:548732 C14H21N
hit structure
1:548733 C73H63P4Pd
hit structure
1:548734 C23H22N2O3
hit structure
1:548735 C23H22N2O3
hit structure

1
  <<    <    >    >>  

entries in data collection: 549010