Home Browse Text SearchFunctional Group SearchStructure SearchPreferences Administration

selected data collection: 1

IRIS SDF: browse content


1
  <<    <    >    >>  

1:548311 C13H19N3O3
hit structure
1:548312 C11H15N5O4
hit structure
1:548313 C15H25N3O4S3
hit structure
1:548314 C23H26N2O5S2
hit structure
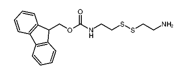
1:548315 C10H18N4O3S2
hit structure
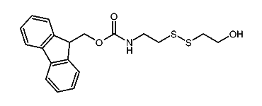
1:548316 C10H15NO3S2
hit structure
1:548317 C53H59N3O5S
hit structure
1:548318 C53H60N4O4S
hit structure
1:548319 C19H22N2O2S2
hit structure
1:548320 C14H26N4O2S3
hit structure
1:548321 C9H12N2O4
hit structure
1:548322 C7H8N2O2
hit structure
1:548323 C17H21N3O8
hit structure
1:548324 C10H12N2O6
hit structure
1:548325 C15H21NO4
hit structure
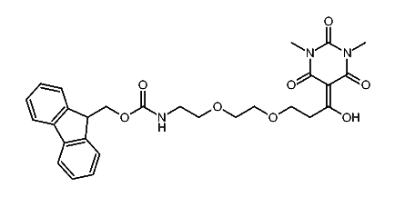
1:548326 C28H31N3O8
hit structure
1:548327 C12H18N4O4
hit structure
1:548328 C13H19N3O2S
hit structure
1:548329 C14H12N2O5S2
hit structure
1:548330 C9H19NO3S2
hit structure
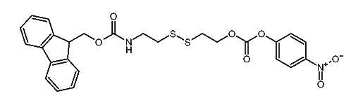
1:548331 C16H22N2O7S2
hit structure
1:548332 C19H21NO3S2
hit structure
1:548333 C26H24N2O7S2
hit structure
1:548334 C19H14N2O5S2
hit structure
1:548335 C14H21NO3S2
hit structure

1
  <<    <    >    >>  

entries in data collection: 554640