Home Browse Text SearchFunctional Group SearchStructure SearchPreferences Administration

selected data collection: 1

IRIS SDF: browse content


1
  <<    <    >    >>  

1:548211 C20H30N4O6S
hit structure
1:548212 C16H27N3O4S
hit structure
1:548213 C15H28N4O2S
hit structure
1:548214 C7HF4N3O2
hit structure
1:548215 C11H4F4N4O4
hit structure
1:548216 C14H24O2
hit structure
1:548217 C16H28O2
hit structure
1:548218 C18H32O2
hit structure
1:548219 C12H13NO5
hit structure
1:548220 C13H15NO5
hit structure
1:548221 C18H16N2O
hit structure
1:548222 C10H8N4O2
hit structure
1:548223 C7H10N4O2
hit structure
1:548224 C13H17NO7
hit structure
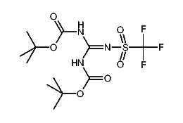
1:548225 C12H20F3N3O6S
hit structure
1:548226 C12H17F6N6O2P
hit structure
1:548227 C18H27ClF6N6OP2
hit structure
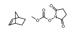
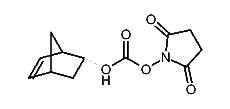
1:548228 C10H19NO4S2
hit structure
1:548229 C20H21NO4S2
hit structure
1:548230 C18H30N10O3
hit structure
1:548231 C19H20N6O5
hit structure
1:548232 C18H18N6O5
hit structure
1:548233 C27H36N6O10
hit structure
1:548234 C35H35NO7S2
hit structure
1:548235 C17H29F6N5O3P2
hit structure

1
  <<    <    >    >>  

entries in data collection: 554640