Home Browse Text SearchFunctional Group SearchStructure SearchPreferences Administration

selected data collection: 1

IRIS SDF: browse content


1
  <<    <    >    >>  

1:547962 C13H19N3O5
hit structure
1:547963 C96H161N21O24
hit structure
1:547964 C91H158N26O26
hit structure
1:547965 C180H311N51O51
hit structure
1:547966 C185H318N51O59P
hit structure
1:547967 C89H156N26O25
hit structure
1:547968 C178H309N51O50
hit structure
1:547969 C183H316N51O58P
hit structure
1:547970 C156H261N41O44
hit structure
1:547971 C185H314N52O53
hit structure
1:547972 C26H25N3O3
hit structure
1:547973 C29H30N4O4
hit structure
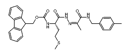
1:547974 C45H53N7O7S
hit structure
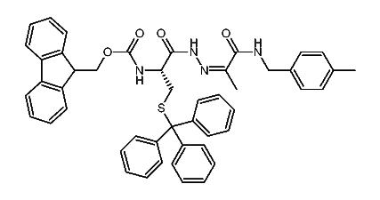
1:547975 C49H45N5O5
hit structure
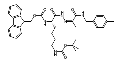
1:547976 C34H38N4O6
hit structure
1:547977 C48H44N4O4S
hit structure
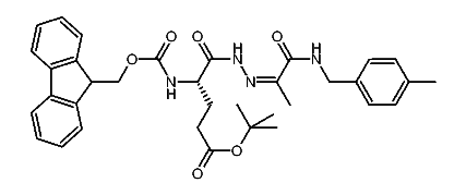
1:547978 C35H40N4O6
hit structure
1:547979 C50H47N5O5
hit structure
1:547980 C28H28N4O4
hit structure
1:547981 C51H46N6O4
hit structure
1:547982 C33H38N4O4
hit structure
1:547983 C32H36N4O4
hit structure
1:547984 C37H45N5O6
hit structure
1:547985 C31H34N4O4S
hit structure
1:547986 C35H34N4O4
hit structure

1
  <<    <    >    >>  

entries in data collection: 554640