Home Browse Text SearchFunctional Group SearchStructure SearchPreferences Administration

selected data collection: 1

IRIS SDF: browse content


1
  <<    <    >    >>  

1:547736 C10H22N4O4
hit structure
1:547737 C4H9N3O2
hit structure
1:547738 C4H9N3O2
hit structure
1:547739 C4H9N3O2
hit structure
1:547740 C4H9N3O2
hit structure
1:547741 C21H25NO5
hit structure
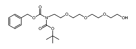
1:547742 C23H29NO6
hit structure
1:547743 C21H33NO8
hit structure
1:547744 C10H19N3O4
hit structure
1:547745 C8H15N3O5
hit structure
1:547746 C18H27NO9
hit structure
1:547747 C11H21NO4
hit structure
1:547748 C18H26N2O7
hit structure
1:547749 C4H10O2S
hit structure
1:547750 C4H10O2S
hit structure
1:547751 C4H10O2S
hit structure
1:547752 C15H20N2O5
hit structure
1:547753 C15H20N2O5
hit structure
1:547754 C15H20N2O5
hit structure
1:547755 C15H20N2O5
hit structure
1:547756 C20H30N4O6S
hit structure
1:547757 C20H30N4O6S
hit structure
1:547758 C20H30N4O6S
hit structure
1:547759 C20H30N4O6S
hit structure
1:547760 C10H15NO5
hit structure

1
  <<    <    >    >>  

entries in data collection: 549010