Home Browse Text SearchFunctional Group SearchStructure SearchPreferences Administration

selected data collection: 1

IRIS SDF: browse content


1
  <<    <    >    >>  

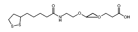
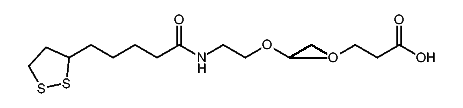
1:547612 C19H35NO7S2
hit structure
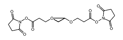
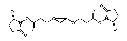
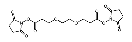
1:547613 C27H51NO11S2
hit structure
1:547614 C59H115NO27S2
hit structure
1:547615 C25H41N3O7S2
hit structure
1:547616 C39H69N3O15S2
hit structure
1:547617 C28H50N4O6S3
hit structure
1:547618 C42H78N4O14S3
hit structure
1:547619 C17H33NO5S2
hit structure
1:547620 C25H49NO9S2
hit structure
1:547621 C33H65NO13S2
hit structure
1:547622 C57H113NO25S2
hit structure
1:547623 C33H59NO17S
hit structure
1:547624 C79H159NO38
hit structure
1:547625 C48H99NO24
hit structure
1:547626 C72H147NO36
hit structure
1:547627 C8H17N3O4
hit structure
1:547628 C48H97N3O24
hit structure
1:547629 C72H145N3O36
hit structure
1:547630 C26H52O13S
hit structure
1:547631 C22H36N2O11
hit structure
1:547632 C87H161N3O41S2
hit structure
1:547633 C26H40N2O15
hit structure
1:547634 C38H64N2O21
hit structure
1:547635 C46H80N2O25
hit structure
1:547636 C54H96N2O29
hit structure

1
  <<    <    >    >>  

entries in data collection: 549010