Home Browse Text SearchFunctional Group SearchStructure SearchPreferences Administration

selected data collection: 1

IRIS SDF: browse content


1
  <<    <    >    >>  

1:544717 C25H24N2O6S
hit structure
1:544718 C34H30F3NO7S
hit structure
1:544719 C39H42N4O7S
hit structure
1:544720 C23H27NO5
hit structure
1:544721 C30H32BNO6
hit structure
1:544722 C34H39BN2O7
hit structure
1:544723 C28H28N2O6
hit structure
1:544724 C45H62N10O13
hit structure
1:544725 C51H72N12O15
hit structure
1:544726 C29H32N2O6
hit structure
1:544727 C25H29NO6
hit structure
1:544728 C26H31NO6
hit structure
1:544729 C27H33NO6
hit structure
1:544730 C25H27NO4
hit structure
1:544731 C28H27NO4
hit structure
1:544732 C28H27NO4
hit structure
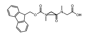
1:544733 C18H17NO4
hit structure
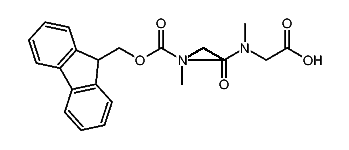
1:544734 C18H17NO4
hit structure
1:544735 C34H40N4O7S
hit structure
1:544736 C36H41F3N4O7S
hit structure
1:544737 C38H32N2O5
hit structure
1:544738 C39H34N2O6
hit structure
1:544739 C23H25NO6
hit structure
1:544740 C25H20N2O4S
hit structure
1:544741 C38H33NO5S
hit structure

1
  <<    <    >    >>  

entries in data collection: 549010