Home Browse Text SearchFunctional Group SearchStructure SearchPreferences Administration

selected data collection: 1

IRIS SDF: browse content


1
  <<    <    >    >>  

1:544273 C14H22N2O6
hit structure
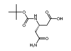
1:544274 C15H18N2O4
hit structure
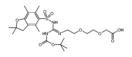
1:544275 C23H35N3O8S
hit structure
1:544276 C25H39N3O9S
hit structure
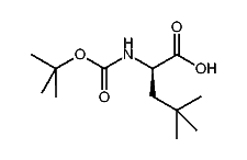
1:544277 C9H17NO4
hit structure
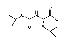
1:544278 C15H21NO4
hit structure
1:544279 C11H19NO4
hit structure
1:544280 C9H17NO4
hit structure
1:544281 C10H18N2O5
hit structure
1:544282 C12H23NO4
hit structure
1:544283 C12H23NO4
hit structure
1:544284 C11H21NO4S
hit structure
1:544285 C15H21NO4
hit structure
1:544286 C11H19NO4
hit structure
1:544287 C17H25NO5
hit structure
1:544288 C17H22N2O4
hit structure
1:544289 C22H27NO5
hit structure
1:544290 C11H21NO4
hit structure
1:544291 C12H23NO4
hit structure
1:544292 C12H23NO4
hit structure
1:544293 C12H21NO4
hit structure
1:544294 C12H21NO4
hit structure
1:544295 C13H24N2O6
hit structure
1:544296 C17H24N2O5S
hit structure
1:544297 C9H14N2O4
hit structure

1
  <<    <    >    >>  

entries in data collection: 549010