Home Browse Text SearchFunctional Group SearchStructure SearchPreferences Administration

selected data collection: 1

IRIS SDF: browse content


1
  <<    <    >    >>  

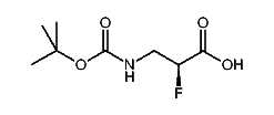
1:544048 C10H16FNO4
hit structure
1:544049 C10H15F2NO4
hit structure
1:544050 C26H30N2O6
hit structure
1:544051 C24H28N2O6
hit structure
1:544052 C14H17F2NO4
hit structure
1:544053 C8H14FNO4
hit structure
1:544054 C8H14FNO4
hit structure
1:544055 C28H36F2N2O8
hit structure
1:544056 C20H21F2NO4
hit structure
1:544057 C14H16F9NO5
hit structure
1:544058 C14H16F9NO5
hit structure
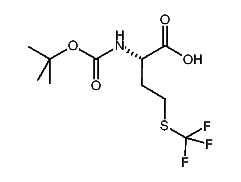
1:544059 C10H16F3NO4S
hit structure
1:544060 C10H17N3O4
hit structure
1:544061 C16H28N4O6
hit structure
1:544062 C11H19N3O4
hit structure
1:544063 C10H15N3O4
hit structure
1:544064 C10H16N4O4
hit structure
1:544065 C10H16N4O4
hit structure
1:544066 C13H17NO4
hit structure
1:544067 C14H19NO4S
hit structure
1:544068 C11H16N2O4
hit structure
1:544069 C15H21NO4
hit structure
1:544070 C18H27NO5
hit structure
1:544071 C10H17NO4S
hit structure
1:544072 C13H17NO4
hit structure

1
  <<    <    >    >>  

entries in data collection: 549010