Home Browse Text SearchFunctional Group SearchStructure SearchPreferences Administration

selected data collection: 1

IRIS SDF: browse content


1
  <<    <    >    >>  

1:542959 C27H29NO5
hit structure
1:542960 C43H52N4O8S
hit structure
1:542961 C44H54N4O8S
hit structure
1:542962 C47H44N2O6
hit structure
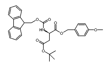
1:542963 C32H37NO7
hit structure
1:542964 C46H43NO5S
hit structure
1:542965 C30H34N2O6S
hit structure
1:542966 C31H37NO5S
hit structure
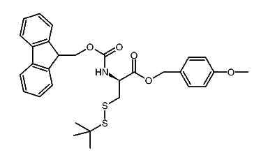
1:542967 C31H37NO5S2
hit structure
1:542968 C48H46N2O6
hit structure
1:542969 C33H39NO7
hit structure
1:542970 C49H45N3O5
hit structure
1:542971 C30H35NO5
hit structure
1:542972 C30H35NO5
hit structure
1:542973 C35H44N2O7
hit structure
1:542974 C29H33NO5S
hit structure
1:542975 C30H35NO5
hit structure
1:542976 C34H42N2O7
hit structure
1:542977 C33H33NO5
hit structure
1:542978 C29H31NO5
hit structure
1:542979 C31H37NO6
hit structure
1:542980 C32H39NO6
hit structure
1:542981 C37H41NO6
hit structure
1:542982 C29H33NO5
hit structure
1:542983 C40H42N2O7
hit structure

1
  <<    <    >    >>  

entries in data collection: 543380