Home Browse Text SearchFunctional Group SearchStructure SearchPreferences Administration

selected data collection: 1

IRIS SDF: browse content


1
  <<    <    >    >>  

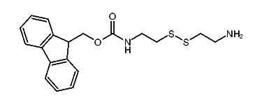
1:542689 C19H22N2O2S2
hit structure
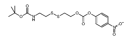
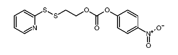
1:542690 C14H26N4O2S3
hit structure
1:542691 C9H12N2O4
hit structure
1:542692 C7H8N2O2
hit structure
1:542693 C17H21N3O8
hit structure
1:542694 C10H12N2O6
hit structure
1:542695 C15H21NO4
hit structure
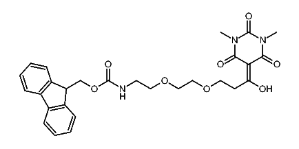
1:542696 C28H31N3O8
hit structure
1:542697 C12H18N4O4
hit structure
1:542698 C13H19N3O2S
hit structure
1:542699 C14H12N2O5S2
hit structure
1:542700 C9H19NO3S2
hit structure
1:542701 C16H22N2O7S2
hit structure
1:542702 C19H21NO3S2
hit structure
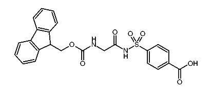
1:542703 C26H24N2O7S2
hit structure
1:542704 C19H14N2O5S2
hit structure
1:542705 C14H21NO3S2
hit structure
1:542706 C21H24N2O7S2
hit structure
1:542707 C24H23NO3S2
hit structure
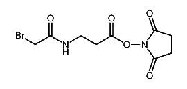
1:542708 C9H11BrN2O5
hit structure
1:542709 C8H14N2O2S
hit structure
1:542710 C24H20N2O7S
hit structure
1:542711 C16H32ClN3O5
hit structure
1:542712 C9H9N3O2
hit structure
1:542713 C10H19NO5
hit structure

1
  <<    <    >    >>  

entries in data collection: 543380