Home Browse Text SearchFunctional Group SearchStructure SearchPreferences Administration

selected data collection: 1

IRIS SDF: browse content


1
  <<    <    >    >>  

1:542539 C9H16BF4N3O3
hit structure
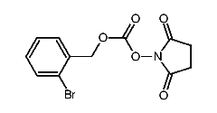
1:542540 C12H10BrNO5
hit structure
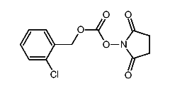
1:542541 C12H10ClNO5
hit structure
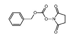
1:542542 C12H11NO5
hit structure
1:542543 C5H12ClF6N2P
hit structure
1:542544 C15H13NO2
hit structure
1:542545 C5H12F7N2P
hit structure
1:542546 C8H8O3
hit structure
1:542547 C5H7N3O3
hit structure
1:542548 C10H16F6N3O2P
hit structure
1:542549 C2H6S2
hit structure
1:542550 C2H6S
hit structure
1:542551 C7H8O
hit structure
1:542552 C7H8S
hit structure
1:542553 C9H22Si
hit structure
1:542554 C10H17BF4N4O3
hit structure
1:542555 C20H17ClO
hit structure
1:542556 C15H12O2
hit structure
1:542557 C10H12O4
hit structure
1:542558 C24H20N2O6
hit structure
1:542559 C12H16O5
hit structure
1:542560 C9H16N2
hit structure
1:542561 C11H14N3O5P
hit structure
1:542562 C14H20F6N3O3P
hit structure
1:542563 C10H16F6N3OPS
hit structure

1
  <<    <    >    >>  

entries in data collection: 543380