Home Browse Text SearchFunctional Group SearchStructure SearchPreferences Administration

selected data collection: 1

IRIS SDF: browse content


1
  <<    <    >    >>  

1:541989 C17H33NO5S2
hit structure
1:541990 C25H49NO9S2
hit structure
1:541991 C33H65NO13S2
hit structure
1:541992 C57H113NO25S2
hit structure
1:541993 C33H59NO17S
hit structure
1:541994 C79H159NO38
hit structure
1:541995 C48H99NO24
hit structure
1:541996 C72H147NO36
hit structure
1:541997 C8H17N3O4
hit structure
1:541998 C48H97N3O24
hit structure
1:541999 C72H145N3O36
hit structure
1:542000 C26H52O13S
hit structure
1:542001 C22H36N2O11
hit structure
1:542002 C87H161N3O41S2
hit structure
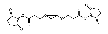
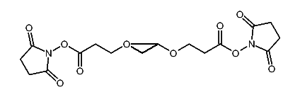
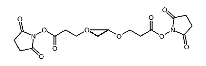
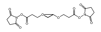
1:542003 C26H40N2O15
hit structure
1:542004 C38H64N2O21
hit structure
1:542005 C46H80N2O25
hit structure
1:542006 C54H96N2O29
hit structure
1:542007 C62H112N2O33
hit structure
1:542008 C24H22F8O8
hit structure
1:542009 C66H106F8O29
hit structure
1:542010 C16H20N2O10
hit structure
1:542011 C18H24N2O11
hit structure
1:542012 C19H37N3O10
hit structure
1:542013 C27H53N3O14
hit structure

1
  <<    <    >    >>  

entries in data collection: 549010