Home Browse Text SearchFunctional Group SearchStructure SearchPreferences Administration

selected data collection: 1

IRIS SDF: browse content


1
  <<    <    >    >>  

1:541670 C11H23NO4S
hit structure
1:541671 C27H30N2O8
hit structure
1:541672 C27H30N2O8
hit structure
1:541673 C27H30N2O8
hit structure
1:541674 C20H40O10S
hit structure
1:541675 C19H38O10S
hit structure
1:541676 C6H14O2S2
hit structure
1:541677 C6H14O2S2
hit structure
1:541678 C6H14O2S2
hit structure
1:541679 C6H14O2S2
hit structure
1:541680 C6H14O2S2
hit structure
1:541681 C14H16N2O6
hit structure
1:541682 C14H16N2O6
hit structure
1:541683 C14H16N2O6
hit structure
1:541684 C14H16N2O6
hit structure
1:541685 C34H38N2O7S
hit structure
1:541686 C34H38N2O7S
hit structure
1:541687 C24H47NO5
hit structure
1:541688 C16H36N2O7
hit structure
1:541689 C70H127N3O35
hit structure
1:541690 C74H129NO32
hit structure
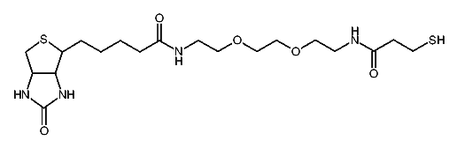
1:541691 C19H34N4O5S2
hit structure
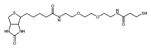
1:541692 C19H34N4O5S2
hit structure
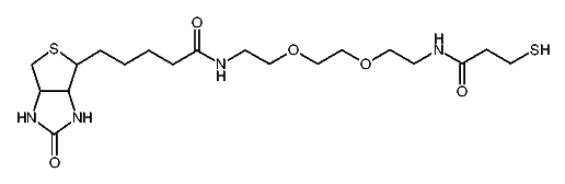
1:541693 C19H34N4O5S2
hit structure
1:541694 C7H15N3O3
hit structure

1
  <<    <    >    >>  

entries in data collection: 554640