Home Browse Text SearchFunctional Group SearchStructure SearchPreferences Administration

selected data collection: 1

IRIS SDF: browse content


1
  <<    <    >    >>  

1:540745 C7H16N4O2
hit structure
1:540746 C13H18N2O4
hit structure
1:540747 C6H11NO2
hit structure
1:540748 C8H10N2O2
hit structure
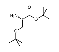
1:540749 C9H17NO4
hit structure
1:540750 C9H10BrNO2
hit structure
1:540751 C9H17NO4
hit structure
1:540752 C7H11N3O2
hit structure
1:540753 C9H9NO2
hit structure
1:540754 C9H10FNO2
hit structure
1:540755 C4H9NO2
hit structure
1:540756 C11H23NO3
hit structure
1:540757 C6H13NO2
hit structure
1:540758 C6H13NO2
hit structure
1:540759 C8H10N2O
hit structure
1:540760 C3H6N2O2
hit structure
1:540761 C9H10FNO2
hit structure
1:540762 C4H7NO2
hit structure
1:540763 C4H7NO2
hit structure
1:540764 C6H13NO2
hit structure
1:540765 C19H21NO2
hit structure
1:540766 C7H13NO2
hit structure
1:540767 C6H11NO2
hit structure
1:540768 C6H13NO2
hit structure
1:540769 C22H22N2OS
hit structure

1
  <<    <    >    >>  

entries in data collection: 543380