Home Browse Text SearchFunctional Group SearchStructure SearchPreferences Administration

selected data collection: 1

IRIS SDF: browse content


1
  <<    <    >    >>  

1:537526 C43(13C)5H44N(15N
hit structure
1:537527 C9H25NO
hit structure
1:537528 C25H30N2
hit structure
1:537529 C21H21NS
hit structure
1:537530 C61H66N4O10
hit structure
1:537531 C46H60N4O13
hit structure
1:537532 C125H120N6O22
hit structure
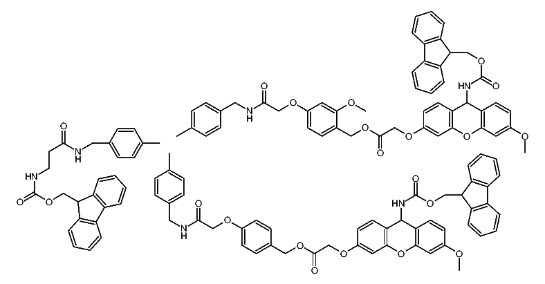
1:537533 C110H114N6O25
hit structure
1:537534 C96H97N7O14
hit structure
1:537535 C34H33NO5
hit structure
1:537536 C33H31NO5
hit structure
1:537537 C36H37NO5
hit structure
1:537538 C33H31NO5
hit structure
1:537539 C34H33NO5
hit structure
1:537540 C41H46N2O7
hit structure
1:537541 C40H42N2O7
hit structure
1:537542 C46H52N4O7S
hit structure
1:537543 C51H48N2O7
hit structure
1:537544 C35H31NO5
hit structure
1:537545 C53H46N2O6
hit structure
1:537546 C49H54N4O8S
hit structure
1:537547 C38H39NO7
hit structure
1:537548 C52H45NO5S
hit structure
1:537549 C39H41NO7
hit structure
1:537550 C55H47N3O5
hit structure

1
  <<    <    >    >>  

entries in data collection: 537750