Home Browse Text SearchFunctional Group SearchStructure SearchPreferences Administration

selected data collection: 1

IRIS SDF: browse content


1
  <<    <    >    >>  

1:535778 C55H72N12O11S3
hit structure
1:535779 C90H106N12O13S3
hit structure
1:535780 C16H28N4O4S
hit structure
1:535781 C46H50N10O9
hit structure
1:535782 C55H65N7O12
hit structure
1:535783 C51H53N7O16
hit structure
1:535784 C48H63N13O10
hit structure
1:535785 C23H34N4O4S3
hit structure
1:535786 C14H20N4O4
hit structure
1:535787 C16H15N5
hit structure
1:535788 C27H38D6O2
hit structure
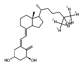
1:535789 C27H40D6O2
hit structure
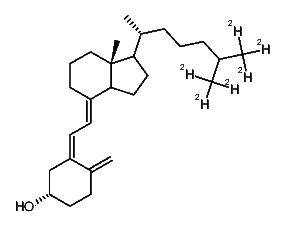
1:535790 C27H38D6O
hit structure
1:535791 C27H38D6O2
hit structure
1:535792 C27H38D6O3
hit structure
1:535793 C27H41D3O
hit structure
1:535794 C27H38D6O
hit structure
1:535795 C27H40D6O
hit structure
1:535796 C28H38D6O2
hit structure
1:535797 C28H38D6O2
hit structure
1:535798 C28H38D6O3
hit structure
1:535799 C28H41D3O
hit structure
1:535800 C28H38D6O
hit structure
1:535801 C29H47D3O2
hit structure
1:535802 C29H44D6O2
hit structure

1
  <<    <    >    >>  

entries in data collection: 537750