Home Browse Text SearchFunctional Group SearchStructure SearchPreferences Administration

selected data collection: 1

IRIS SDF: browse content


1
  <<    <    >    >>  

1:534741 C27H37NO5Si
hit structure
1:534742 C37H45N7O7S
hit structure
1:534743 C24H28N2O5
hit structure
1:534744 C22H24N4O4
hit structure
1:534745 C35H44N2O6
hit structure
1:534746 C25H28N2O5
hit structure
1:534747 C28H28N2O8S
hit structure
1:534748 C29H27N5O3S
hit structure
1:534749 C26H19N3O4S2
hit structure
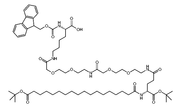
1:534750 C64H101N5O16
hit structure
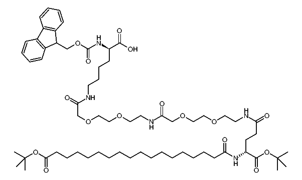
1:534751 C64H101N5O16
hit structure
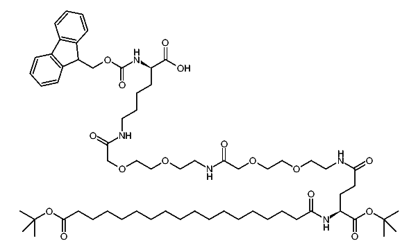
1:534752 C64H101N5O16
hit structure
1:534753 C22H21NO4S
hit structure
1:534754 C25H28N2O6
hit structure
1:534755 C24H24N2O6
hit structure
1:534756 C28H36N2O6
hit structure
1:534757 C39H34N2O5
hit structure
1:534758 C22H23NO4
hit structure
1:534759 C28H34N2O7
hit structure
1:534760 C29H36N2O7
hit structure
1:534761 C30H38N2O7
hit structure
1:534762 C26H30N2O6
hit structure
1:534763 C23H26N4O4
hit structure
1:534764 C31H31N3O10
hit structure
1:534765 C24H23N3O4
hit structure

1
  <<    <    >    >>  

entries in data collection: 537750