Home Browse Text SearchFunctional Group SearchStructure SearchPreferences Administration

selected data collection: 1

IRIS SDF: browse content


1
  <<    <    >    >>  

1:530991 C47H76F4N4O17S
hit structure
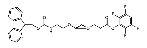
1:530992 C32H33F4NO8
hit structure
1:530993 C40H49F4NO12
hit structure
1:530994 C48H65F4NO16
hit structure
1:530995 C72H113F4NO28
hit structure
1:530996 C96H161F4NO40
hit structure
1:530997 C18H35NO8
hit structure
1:530998 C13H28N2O5
hit structure
1:530999 C15H32N2O6
hit structure
1:531000 C72H132N2O34S2
hit structure
1:531001 C9H20N2O3
hit structure
1:531002 C6H13NO4
hit structure
1:531003 C6H10KN3O4
hit structure
1:531004 C32H53N7O8S
hit structure
1:531005 C38H57N9O9S
hit structure
1:531006 C32H50N4O8S
hit structure
1:531007 C27H49N7O7S
hit structure
1:531008 C27H42N8O7S
hit structure
1:531009 C24H40N4O7S
hit structure
1:531010 C20H38N4O5S
hit structure
1:531011 C24H46N4O13
hit structure
1:531012 C11H21NO6
hit structure
1:531013 C29H52N8O8S3
hit structure
1:531014 C44H60N6O9S3
hit structure
1:531015 C13H26N4O5
hit structure

1
  <<    <    >    >>  

entries in data collection: 532120