Home Browse Text SearchFunctional Group SearchStructure SearchPreferences Administration

selected data collection: 1

IRIS SDF: browse content


1
  <<    <    >    >>  

1:530891 C37H38F4N2O8
hit structure
1:530892 C53H70F4N2O16
hit structure
1:530893 C77H118F4N2O28
hit structure
1:530894 C101H166F4N2O40
hit structure
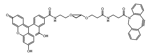
1:530895 C52H74N4O17
hit structure
1:530896 C76H122N4O29
hit structure
1:530897 C31H38BrN3O7
hit structure
1:530898 C25H37N7O6S
hit structure
1:530899 C47H70BrN3O15
hit structure
1:530900 C23H38N4O6S
hit structure
1:530901 C71H118BrN3O27
hit structure
1:530902 C11H17NO5
hit structure
1:530903 C55H83N5O16S
hit structure
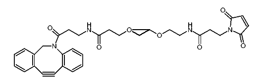
1:530904 C33H45N3O12
hit structure
1:530905 C66H79N3O20
hit structure
1:530906 C13H28N2O5
hit structure
1:530907 C75H141N2O26P
hit structure
1:530908 C45H73F4N5O13
hit structure
1:530909 C69H136NO22P
hit structure
1:530910 C61H105F4N5O21
hit structure
1:530911 C108H203F4NO51
hit structure
1:530912 C85H153F4N5O33
hit structure
1:530913 C53H105NO27
hit structure
1:530914 C33H49F4N5O13
hit structure
1:530915 C59H105F4NO27
hit structure

1
  <<    <    >    >>  

entries in data collection: 532120