Home Browse Text SearchFunctional Group SearchStructure SearchPreferences Administration

selected data collection: 1

IRIS SDF: browse content


1
  <<    <    >    >>  

1:530816 C21H41N5O7SSi
hit structure
1:530817 C10H13NO6
hit structure
1:530818 C6H13N3O3
hit structure
1:530819 C20H39NO10
hit structure
1:530820 C18H35NO9
hit structure
1:530821 C14H27NO7
hit structure
1:530822 C18H32N6O5S
hit structure
1:530823 C21H35N3O6S
hit structure
1:530824 C11H22N4O4
hit structure
1:530825 C25H30N2O7
hit structure
1:530826 C6H14N4O2
hit structure
1:530827 C22H43NO5
hit structure
1:530828 C13H12F4N4O5
hit structure
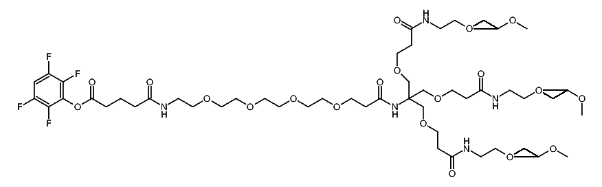
1:530829 C104H191F4N5O47
hit structure
1:530830 C57H107NO29S
hit structure
1:530831 C23H28N2O11
hit structure
1:530832 C18H29NO11
hit structure
1:530833 C34H61NO19
hit structure
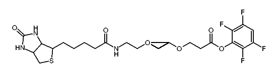
1:530834 C31H45N5O13
hit structure
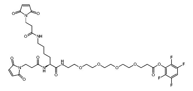
1:530835 C37H45F4N5O13
hit structure
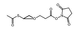
1:530836 C43H69F4N3O16S
hit structure
1:530837 C18H34N4O6S
hit structure
1:530838 C14H26N4O6
hit structure
1:530839 C25H30N2O8
hit structure
1:530840 C59H116NO17P
hit structure

1
  <<    <    >    >>  

entries in data collection: 537750