Home Browse Text SearchFunctional Group SearchStructure SearchPreferences Administration

selected data collection: 1

IRIS SDF: browse content


1
  <<    <    >    >>  

1:530616 C34H60N2O17
hit structure
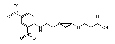
1:530617 C7H7NO4
hit structure
1:530618 C17H25N3O10
hit structure
1:530619 C21H28N4O12
hit structure
1:530620 C31H39NO6
hit structure
1:530621 C23H33N3O9S2
hit structure
1:530622 C31H49N3O13S2
hit structure
1:530623 C39H65N3O17S2
hit structure
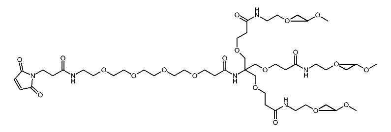
1:530624 C63H113N3O29S2
hit structure
1:530625 C33H57N3O18
hit structure
1:530626 C37H60N4O20
hit structure
1:530627 C58H106N6O26
hit structure
1:530628 C11H21N3O6
hit structure
1:530629 C16H34N4O7
hit structure
1:530630 C19H38O9
hit structure
1:530631 C31H62O15
hit structure
1:530632 C55H110O27
hit structure
1:530633 C16H26N2O7
hit structure
1:530634 C24H42N2O11
hit structure
1:530635 C24H47NO12
hit structure
1:530636 C32H63NO16
hit structure
1:530637 C6H13NO4
hit structure
1:530638 C10H21NO4
hit structure
1:530639 C18H36O9S
hit structure
1:530640 C16H27N3O6S
hit structure

1
  <<    <    >    >>  

entries in data collection: 537750