Home Browse Text SearchFunctional Group SearchStructure SearchPreferences Administration

selected data collection: 1

IRIS SDF: browse content


1
  <<    <    >    >>  

1:530545 C14H20N2O7
hit structure
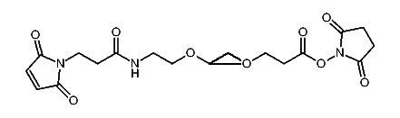
1:530546 C18H23N3O9
hit structure
1:530547 C62H111N3O31
hit structure
1:530548 C18H28N2O9
hit structure
1:530549 C22H31N3O11
hit structure
1:530550 C26H39N3O13
hit structure
1:530551 C30H47N3O15
hit structure
1:530552 C41H71N5O16S
hit structure
1:530553 C58H108N2O29
hit structure
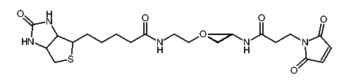
1:530554 C27H43N5O8S
hit structure
1:530555 C26H44N2O13
hit structure
1:530556 C10H20O6
hit structure
1:530557 C18H36O10
hit structure
1:530558 C6H12O4
hit structure
1:530559 C52H104O27
hit structure
1:530560 C25H53NO12
hit structure
1:530561 C25H51N3O12
hit structure
1:530562 C32H58N2O15
hit structure
1:530563 C49H101NO24
hit structure
1:530564 C56H106N2O27
hit structure
1:530565 C9H21NO4
hit structure
1:530566 C9H19N3O4
hit structure
1:530567 C17H37NO8
hit structure
1:530568 C17H35N3O8
hit structure
1:530569 C49H99N3O24
hit structure

1
  <<    <    >    >>  

entries in data collection: 537750