Home Browse Text SearchFunctional Group SearchStructure SearchPreferences Administration

selected data collection: 1

IRIS SDF: browse content


1
  <<    <    >    >>  

1:530420 C6H14O2S2
hit structure
1:530421 C14H16N2O6
hit structure
1:530422 C14H16N2O6
hit structure
1:530423 C14H16N2O6
hit structure
1:530424 C14H16N2O6
hit structure
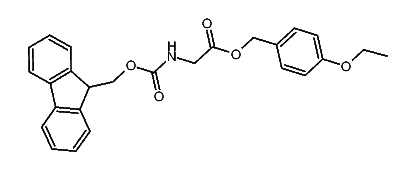
1:530425 C34H38N2O7S
hit structure
1:530426 C34H38N2O7S
hit structure
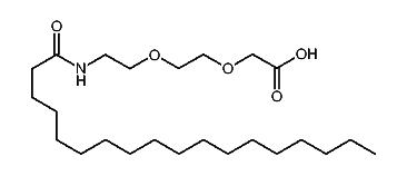
1:530427 C24H47NO5
hit structure
1:530428 C16H36N2O7
hit structure
1:530429 C70H127N3O35
hit structure
1:530430 C74H129NO32
hit structure
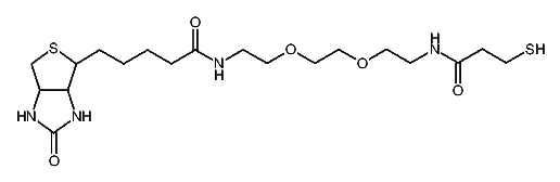
1:530431 C19H34N4O5S2
hit structure
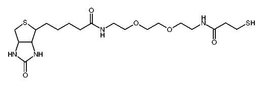
1:530432 C19H34N4O5S2
hit structure
1:530433 C19H34N4O5S2
hit structure
1:530434 C7H15N3O3
hit structure
1:530435 C12H24N2O7
hit structure
1:530436 C54H48N2O6
hit structure
1:530437 C39H41NO7
hit structure
1:530438 C26H25NO5
hit structure
1:530439 C55H47N3O5
hit structure
1:530440 C36H37NO5
hit structure
1:530441 C36H37NO5
hit structure
1:530442 C41H46N2O7
hit structure
1:530443 C35H35NO5S
hit structure
1:530444 C36H37NO5
hit structure

1
  <<    <    >    >>  

entries in data collection: 639090