Home Browse Text SearchFunctional Group SearchStructure SearchPreferences Administration

selected data collection: 1

IRIS SDF: browse content


1
  <<    <    >    >>  

1:530145 C7H19N3
hit structure
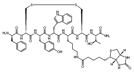
1:530146 C51H70N10O15S2
hit structure
1:530147 C51H61F9N10O15S2
hit structure
1:530148 C55H72N12O11S3
hit structure
1:530149 C90H106N12O13S3
hit structure
1:530150 C16H28N4O4S
hit structure
1:530151 C46H50N10O9
hit structure
1:530152 C55H65N7O12
hit structure
1:530153 C51H53N7O16
hit structure
1:530154 C48H63N13O10
hit structure
1:530155 C23H34N4O4S3
hit structure
1:530156 C14H20N4O4
hit structure
1:530157 C16H15N5
hit structure
1:530158 C27H38D6O2
hit structure
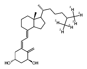
1:530159 C27H40D6O2
hit structure
1:530160 C27H38D6O
hit structure
1:530161 C27H38D6O2
hit structure
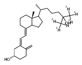
1:530162 C27H38D6O3
hit structure
1:530163 C27H41D3O
hit structure
1:530164 C27H38D6O
hit structure
1:530165 C27H40D6O
hit structure
1:530166 C28H38D6O2
hit structure
1:530167 C28H38D6O2
hit structure
1:530168 C28H38D6O3
hit structure
1:530169 C28H41D3O
hit structure

1
  <<    <    >    >>  

entries in data collection: 532120