Home Browse Text SearchFunctional Group SearchStructure SearchPreferences Administration

selected data collection: 1

IRIS SDF: browse content


1
  <<    <    >    >>  

1:527289 C10H15F2NO4
hit structure
1:527290 C10H16F3NO4
hit structure
1:527291 C11H18F3NO4
hit structure
1:527292 C10H13F6NO4
hit structure
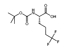
1:527293 C10H16F3NO4
hit structure
1:527294 C11H15F6NO4
hit structure
1:527295 C11H18F3NO4
hit structure
1:527296 C9H14F3NO5
hit structure
1:527297 C15H19F2NO4
hit structure
1:527298 C11H17F2NO4
hit structure
1:527299 C10H17F2NO4S
hit structure
1:527300 C9H15F2NO5
hit structure
1:527301 C11H17F2NO5
hit structure
1:527302 C15H19F2NO5
hit structure
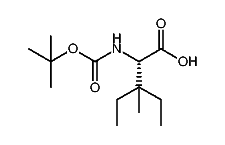
1:527303 C12H23NO4
hit structure
1:527304 C25H28N2O6
hit structure
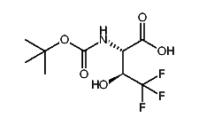
1:527305 C11H17NO4
hit structure
1:527306 C18H29NO4
hit structure
1:527307 C13H25NO4
hit structure
1:527308 C14H25NO4
hit structure
1:527309 C16H25NO4
hit structure
1:527310 C18H29NO4
hit structure
1:527311 C18H29NO4
hit structure
1:527312 C16H22N4O5
hit structure
1:527313 C15H20N4O4
hit structure

1
  <<    <    >    >>  

entries in data collection: 532120