Home Browse Text SearchFunctional Group SearchStructure SearchPreferences Administration

selected data collection: 1

IRIS SDF: browse content


1
  <<    <    >    >>  

1:527089 C16H21NO4
hit structure
1:527090 C16H21NO4
hit structure
1:527091 C16H27NO4
hit structure
1:527092 C32H42N2O8
hit structure
1:527093 C32H42N2O8
hit structure
1:527094 C15H21NO4
hit structure
1:527095 C15H21NO4
hit structure
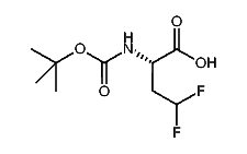
1:527096 C9H15F2NO4
hit structure
1:527097 C9H14F3NO4
hit structure
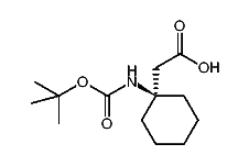
1:527098 C10H19NO4
hit structure
1:527099 C10H19NO4
hit structure
1:527100 C19H21NO4
hit structure
1:527101 C13H24N2O5S2
hit structure
1:527102 C9H15F2NO4
hit structure
1:527103 C14H28N2O4
hit structure
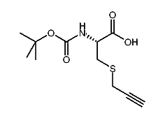
1:527104 C11H17NO4S
hit structure
1:527105 C10H15NO5
hit structure
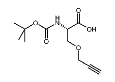
1:527106 C11H17NO5
hit structure
1:527107 C17H21NO5
hit structure
1:527108 C14H19NO4
hit structure
1:527109 C14H19NO4
hit structure
1:527110 C14H19NO4
hit structure
1:527111 C22H34N2O8
hit structure
1:527112 C12H21NO4
hit structure
1:527113 C13H23NO4
hit structure

1
  <<    <    >    >>  

entries in data collection: 532120