Home Browse Text SearchFunctional Group SearchStructure SearchPreferences Administration

selected data collection: 1

IRIS SDF: browse content


1
  <<    <    >    >>  

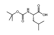
1:526839 C13H23NO6
hit structure
1:526840 C13H23NO6
hit structure
1:526841 C11H20N2O5S
hit structure
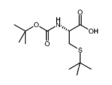
1:526842 C15H21NO4S
hit structure
1:526843 C16H23NO4S
hit structure
1:526844 C16H23NO5S
hit structure
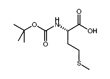
1:526845 C12H23NO4S
hit structure
1:526846 C16H27NO6
hit structure
1:526847 C16H25N3O6
hit structure
1:526848 C11H17N3O4
hit structure
1:526849 C10H17NO5
hit structure
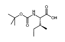
1:526850 C11H21NO4
hit structure
1:526851 C11H21NO4
hit structure
1:526852 C19H27ClN2O6
hit structure
1:526853 C15H26N2O6
hit structure
1:526854 C16H30N2O6
hit structure
1:526855 C19H28N2O6
hit structure
1:526856 C11H22N2O4
hit structure
1:526857 C9H17NO4
hit structure
1:526858 C12H23NO4
hit structure
1:526859 C12H23NO4
hit structure
1:526860 C15H21NO4
hit structure
1:526861 C10H19NO4S
hit structure
1:526862 C22H27NO5
hit structure
1:526863 C11H21NO5
hit structure

1
  <<    <    >    >>  

entries in data collection: 532120