Home Browse Text SearchFunctional Group SearchStructure SearchPreferences Administration

selected data collection: 1

IRIS SDF: browse content


1
  <<    <    >    >>  

1:523642 C17H29NO9
hit structure
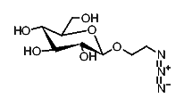
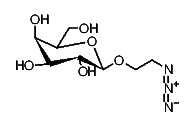
1:523643 C12H23N3O8
hit structure
1:523644 C15H26O9
hit structure
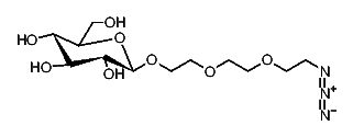
1:523645 C12H23N3O8
hit structure
1:523646 C15H26O9
hit structure
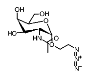
1:523647 C14H26N4O8
hit structure
1:523648 C17H29NO9
hit structure
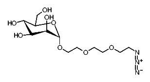
1:523649 C18H33N3O13
hit structure
1:523650 C21H36O14
hit structure
1:523651 C12H23N3O8
hit structure
1:523652 C15H26O9
hit structure
1:523653 C8H15N3O6
hit structure
1:523654 C8H15N3O6
hit structure
1:523655 C8H15N3O6
hit structure
1:523656 C10H18N4O6
hit structure
1:523657 C14H25N3O11
hit structure
1:523658 C15H28O11
hit structure
1:523659 C17H31NO11
hit structure
1:523660 C17H31NO11
hit structure
1:523661 C15H28O11
hit structure
1:523662 C11H20O8
hit structure
1:523663 C11H20O8
hit structure
1:523664 C13H23NO8
hit structure
1:523665 C13H23NO8
hit structure
1:523666 C11H20O8
hit structure

1
  <<    <    >    >>  

entries in data collection: 549010