Home Browse Text SearchFunctional Group SearchStructure SearchPreferences Administration

selected data collection: 1

IRIS SDF: browse content


1
  <<    <    >    >>  

1:523467 C27H23ClN2O4
hit structure
1:523468 C26H28N2O6
hit structure
1:523469 C26H22N4O6
hit structure
1:523470 C21H22N2O5
hit structure
1:523471 C27H24N4O6
hit structure
1:523472 C24H18N2O6
hit structure
1:523473 C24H19NO4
hit structure
1:523474 C25H28N2O4S
hit structure
1:523475 C40H37NO4S
hit structure
1:523476 C41H39NO4S
hit structure
1:523477 C24H28N2O6
hit structure
1:523478 C25H30N2O6
hit structure
1:523479 C21H23NO4S
hit structure
1:523480 C26H31NO6
hit structure
1:523481 C27H37NO5Si
hit structure
1:523482 C37H45N7O7S
hit structure
1:523483 C24H28N2O5
hit structure
1:523484 C22H24N4O4
hit structure
1:523485 C35H44N2O6
hit structure
1:523486 C25H28N2O5
hit structure
1:523487 C28H28N2O8S
hit structure
1:523488 C29H27N5O3S
hit structure
1:523489 C26H19N3O4S2
hit structure
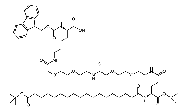
1:523490 C64H101N5O16
hit structure
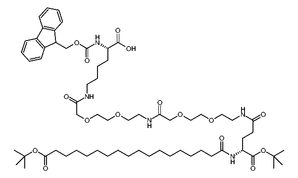
1:523491 C64H101N5O16
hit structure

1
  <<    <    >    >>  

entries in data collection: 543380