Home Browse Text SearchFunctional Group SearchStructure SearchPreferences Administration

selected data collection: 1

IRIS SDF: browse content


1
  <<    <    >    >>  

1:523342 C28H27NO6
hit structure
1:523343 C26H30N2O6
hit structure
1:523344 C29H29NO6
hit structure
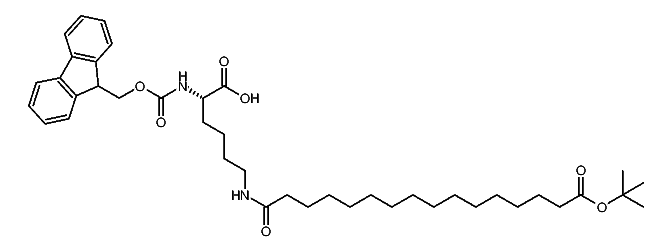
1:523345 C50H75N3O10
hit structure
1:523346 C29H29NO6
hit structure
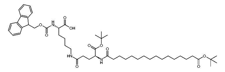
1:523347 C41H60N2O7
hit structure
1:523348 C27H30N2O5
hit structure
1:523349 C27H21N3O4
hit structure
1:523350 C27H21N3O4
hit structure
1:523351 C27H21N3O4
hit structure
1:523352 C27H21N3O4
hit structure
1:523353 C27H23FN2O4
hit structure
1:523354 C27H23FN2O4
hit structure
1:523355 C27H23FN2O4
hit structure
1:523356 C27H23FN2O4
hit structure
1:523357 C25H21N3O4
hit structure
1:523358 C25H21N3O4
hit structure
1:523359 C25H21N3O4
hit structure
1:523360 C25H21N3O4
hit structure
1:523361 C25H21N3O4
hit structure
1:523362 C28H22BrNO5
hit structure
1:523363 C28H22BrNO5
hit structure
1:523364 C20H20N2O5S
hit structure
1:523365 C30H32N2O7S
hit structure
1:523366 C29H30N2O6
hit structure

1
  <<    <    >    >>  

entries in data collection: 543380