Home Browse Text SearchFunctional Group SearchStructure SearchPreferences Administration

selected data collection: 1

IRIS SDF: browse content


1
  <<    <    >    >>  

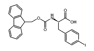
1:522468 C24H20INO4
hit structure
1:522469 C24H20INO4
hit structure
1:522470 C39H35NO4S
hit structure
1:522471 C23H23F3N2O5
hit structure
1:522472 C20H17NO4
hit structure
1:522473 C21H24N4O4
hit structure
1:522474 C25H23NO5
hit structure
1:522475 C38H33NO4S
hit structure
1:522476 C32H38N4O7S
hit structure
1:522477 C24H19F2NO4
hit structure
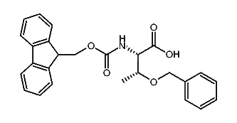
1:522478 C19H19NO4
hit structure
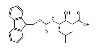
1:522479 C19H19NO4
hit structure
1:522480 C38H33NO5S
hit structure
1:522481 C38H33NO5
hit structure
1:522482 C43H34ClNO5
hit structure
1:522483 C41H40N2O5
hit structure
1:522484 C35H32N2O6
hit structure
1:522485 C26H25NO5
hit structure
1:522486 C24H27NO6
hit structure
1:522487 C24H27NO5
hit structure
1:522488 C26H31NO5
hit structure
1:522489 C26H25NO5
hit structure
1:522490 C23H27NO5
hit structure
1:522491 C21H21NO4
hit structure
1:522492 C26H33NO4
hit structure

1
  <<    <    >    >>  

entries in data collection: 532120