Home Browse Text SearchFunctional Group SearchStructure SearchPreferences Administration

selected data collection: 1

IRIS SDF: browse content


1
  <<    <    >    >>  

1:521724 C10H15NO5
hit structure
1:521725 C9H18N2O4
hit structure
1:521726 C13H16N2O6
hit structure
1:521727 C16H21N3O7
hit structure
1:521728 C23H26N2O8
hit structure
1:521729 C21H26N2O8
hit structure
1:521730 C17H24N2O6
hit structure
1:521731 C15H24N2O6
hit structure
1:521732 C13H26N2O4
hit structure
1:521733 C17H24N2O6
hit structure
1:521734 C15H24N2O6
hit structure
1:521735 C22H33N3O8
hit structure
1:521736 C13H21F3N2O5
hit structure
1:521737 C18H28N2O6S
hit structure
1:521738 C12H23NO4
hit structure
1:521739 C16H22N2O6S
hit structure
1:521740 C14H22N2O6S
hit structure
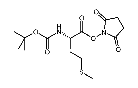
1:521741 C18H27NO4S
hit structure
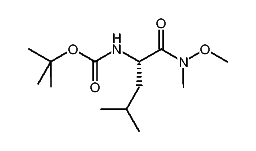
1:521742 C15H21NO4
hit structure
1:521743 C20H22N2O6
hit structure
1:521744 C18H22N2O6
hit structure
1:521745 C11H19NO4
hit structure
1:521746 C14H20N2O6
hit structure
1:521747 C19H24N2O7
hit structure
1:521748 C20H26N2O7
hit structure

1
  <<    <    >    >>  

entries in data collection: 526490